
Науковці навчилися передбачати ризик розвитку деменції на 10 років вперед. Основними факторами ризику є вік, стать і відмінності в гені APOE.
Дослідники з Данії переконані, що результати їхнього дослідження допоможуть визначати пацієнтів з високим ризиком і призначати їм ефективну профілактику, пише Canadian Medical Association Journal.
Деменція або старече недоумство – основна причина втрати працездатності у старшому віці. І ефективного лікування цього захворювання наразі нема. Вчасна профілактика знижує вплив факторів ризику, що викликають розвиток недуги.
До таких факторів відносять вік, стать та відмінності у гені, що кодує Аполіпопротеїн E. З віком все зрозуміло – чим старша людина, тим більша ймовірність того, що у неї розвинеться деменція. Щодо статі, за статистикою, хворобою Альцгеймера, яка є причиною 60-70% деменцій, частіше страждають жінки.
А от щодо гену, то Аполіпопротеїн E існує у трьох основних ізоформах – APOE2, APOE3 і APOE4. Остання безпосередньо пов'язана з ризиком розвитку хвороби Альцгеймера, адже викликає накопичення залишків ліпопротеїнів у головному мозку.

Передбачати ризик розвитку деменції можна буде на 10 років вперед
Близько третини випадків деменції можна було запобігти – своєчасне втручання і усунення таких факторів ризику як куріння, депресія, гіпертонія, діабет, ожиріння і втрата слуху може затримати або запобігти розвитку захворювання. Якщо ми зможемо визначати людей з групи ризику, то завдяки профілактиці ми попередимо початок хвороби,
– пояснила професор Копенгагенського університету Рут Фрікке-Шмідт.
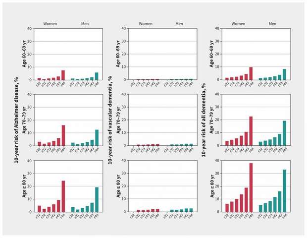
І саме комбінація віку, статі та варіації в гені APOE допомагають визначити групи з високим ризиком. Так, для жінок і чоловіків у віці 60 років ризик розвитку деменції 7% і 6% відповідно, для 70-річних – 16% і 12%, а для 80-річних і старше – 24% і 19%.

Ризик розвитку хвороби Альцгеймера, судинної деменції та інших деменцій в залежності від генотипів APOE, розподілений за статтю та віком
Ці дані дозволяють прогнозувати захворювання за 10 років до його можливого початку. Одним із способів профілактики деменції є постійне навчання. Даючи мозку знаннями, це викликає формування нових нейронних зв'язків. Корисно навіть розгадування головоломок. Зокрема, рішення задач, що розвивають увагу, здатні на 29% знизити ймовірність розвитку деменції через 10 років.
Що таке деменція? Це синдром стійкого порушення когнітивних функцій у результаті органічного ураження мозку. Частота деменції зростає з віком. В Україні на деменцію страждають 63 тисячі людей, щороку занедужують понад 4,5 тисячі осіб.
Більше новин, що стосуються лікування різноманітних захворювань, медицини в Україні, здорового способу життя та харчування, вагітності та пологів, відкриттів у сфері медицини та багато іншого – читайте у розділі Здоров'я.
24.ua
Науковці навчилися передбачати ризик розвитку деменції на 10 років вперед. Основними факторами ризику є вік, стать і відмінності в гені APOE.
Дослідники з Данії переконані, що результати їхнього дослідження допоможуть визначати пацієнтів з високим ризиком і призначати їм ефективну профілактику, пише Canadian Medical Association Journal.
Деменція або старече недоумство – основна причина втрати працездатності у старшому віці. І ефективного лікування цього захворювання наразі нема. Вчасна профілактика знижує вплив факторів ризику, що викликають розвиток недуги.
До таких факторів відносять вік, стать та відмінності у гені, що кодує Аполіпопротеїн E. З віком все зрозуміло – чим старша людина, тим більша ймовірність того, що у неї розвинеться деменція. Щодо статі, за статистикою, хворобою Альцгеймера, яка є причиною 60-70% деменцій, частіше страждають жінки.
А от щодо гену, то Аполіпопротеїн E існує у трьох основних ізоформах – APOE2, APOE3 і APOE4. Остання безпосередньо пов'язана з ризиком розвитку хвороби Альцгеймера, адже викликає накопичення залишків ліпопротеїнів у головному мозку.

Передбачати ризик розвитку деменції можна буде на 10 років вперед
Близько третини випадків деменції можна було запобігти – своєчасне втручання і усунення таких факторів ризику як куріння, депресія, гіпертонія, діабет, ожиріння і втрата слуху може затримати або запобігти розвитку захворювання. Якщо ми зможемо визначати людей з групи ризику, то завдяки профілактиці ми попередимо початок хвороби,– пояснила професор Копенгагенського університету Рут Фрікке-Шмідт.
І саме комбінація віку, статі та варіації в гені APOE допомагають визначити групи з високим ризиком. Так, для жінок і чоловіків у віці 60 років ризик розвитку деменції 7% і 6% відповідно, для 70-річних – 16% і 12%, а для 80-річних і старше – 24% і 19%.

Ризик розвитку хвороби Альцгеймера, судинної деменції та інших деменцій в залежності від генотипів APOE, розподілений за статтю та віком
Ці дані дозволяють прогнозувати захворювання за 10 років до його можливого початку. Одним із способів профілактики деменції є постійне навчання. Даючи мозку знаннями, це викликає формування нових нейронних зв'язків. Корисно навіть розгадування головоломок. Зокрема, рішення задач, що розвивають увагу, здатні на 29% знизити ймовірність розвитку деменції через 10 років.
Що таке деменція? Це синдром стійкого порушення когнітивних функцій у результаті органічного ураження мозку. Частота деменції зростає з віком. В Україні на деменцію страждають 63 тисячі людей, щороку занедужують понад 4,5 тисячі осіб.
Більше новин, що стосуються лікування різноманітних захворювань, медицини в Україні, здорового способу життя та харчування, вагітності та пологів, відкриттів у сфері медицини та багато іншого – читайте у розділі Здоров'я.
24.ua
Українцям перерахували пенсії по інвалідності 3 групи: хто з 1 травня отримає більше
Як виростити ідеальні огірки: Поради та секрети